UNRESTRICTED WARFARE
9/11 Treason

By: John Caylor
@Copyright 2005
February 6, 2005
Editor's Note: In May 2001, the FBI secretly reopened the long forbidden "Cointelpro", counter-intelligence-program that spies on American citizens. As a former "independently active criminal intelligence analyst" for the Bureau in the late 80's until the mid 90's. I was directly involved in the investigation of the 1989-90 domestic mail bomb attacks against the federal judiciary (VANPAC) and Oklahoma City bombing.
During the early June 2001 time frame, I was re-contacted by email and asked for any relevant information and knowledge of Chinese Army operatives activity in the United States. Later, I learned that the FBI had been actively searching for "suitcase neutron bombs" in Miami and other United States cities.
The dreaded neutron bomb is a high yield radiation weapon which I have had personal experience working on as a former civilian employee in R&D for the Department of Defense at Fort Rucker, Alabama. Directly involved in the testing of functional components at Abredeen Proving Grounds, I was injured and lost 80 percent of my hearing, requiring surgery and revoking my medical status to fly in military aircraft. The bomb was so horrific Europeans forced then President Jimmy Carter "to not deploy the weapon" on European soil as the neutron bomb is Pandora's worst nightmare and there is no defense against it!
Since the late 70's China and Pakistan have miniaturized the weapon making it higher yield and packaging it in a suitcase for remote detonation by space satellites. Once the weapon is hidden in place it can be used as a yellowmail device to surgically kill hundreds of thousands without harming valuable real estate and precious national resources.
It could be China and Saudi Arabia's muddled weapon of choice having diffused links to Islamic AL-Qaeda terrorists while shifting attack responsibility to Pakistan. Based upon intelligence sources I have come to the conclusion that a device may be detonated in the Unites States, it may be only a matter of when?"
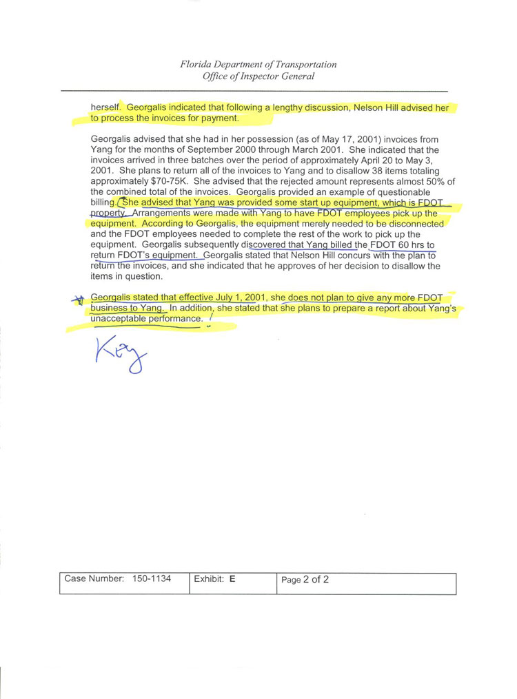
In pursuit of the truth regarding this matter of grave concern, Insider-Magazine.com has relentlessly pursued the death investigation of Investigator Raymond Leme. Mr. Lemme was an investigator with the Florida Department of Transportation who resided in Tallahassee, Florida. Mr. Lemme honorably served our country in Vietnam and was an active U.S. Air Force reservist at the time his of death. He was investigating serious allegations made against a Chinese software firm that had U.S. government contracts.
The allegations were made by Florida Department of Transportation supervisor Mavis Georgalis and programmer Clint Curtis a former Yang employee. They inferred that Yang Enterprises, whose lobbyist is United States Congressman Tom Feeney helped secure contracts for a firm not eligible to receive contracts due to the fact that an illegal alien and spy was working for them.
These and the other allegations against Yang and Feeney that have recently come to light threaten the security of the United States.
Those involved in the apparent plot have gone to extreme measures using murder, malicious prosecution of whistleblowers, manufacturing several different police reports and official investigative documents to hide facts that high level treason continues to be committed against our citizens.
INVESTIGATOR'S MURDER COVER-UP STRAW THAT BROKE PLOT

Raymond Lemme, top right active U.S. Air Force Reservist
and Florida Department of Transportation OSI Investigator was murdered
investigating Chinese - NASA, DOT whistleblower complaint.
SUICIDE TURNS MURDER IN TREASON CASE INVOLVING CHINESE
SOFTWARE COMPANY WITH NASA AND GOVERNMENT CONTRACTS!
WARNING: THE FOLLOWING PAGE CONTAINS GRAPHIC PHOTOGRAPHS THAT
MAY BE OFFENSIVE TO SOME VIEWERS. INSIDER MAGAZINE WAS FORCED TO
USE THE CRIMES SCENE PHOTOS BECAUSE POLICE HAVE COVERED UP THE DEATH
INVESTIGATION AND HAVE CONSISTENTLY MAINTAINED THAT NO SUCH CRIME
SCENE PHOTOS EXISTED. AFTER VIEWING THE PHOTOS THEY WERE FORCED TO
SURRENDER, IT IS APPARENT THAT HE WAS BEATEN, TORTURED AND KILLED.
NO AUTOPSY AND QUICK CREMATION ELIMINATING EVIDENCE
Photo's stated officially in Police Reports "not to exist", indicate Investigator was tortured, choked and murdered in Valdosta, GA. motel room. Base upon existing evidence we believe he uncovered a spy plot against United States. Police reports say he committed suicide. There's blood in all the wrong places...and screwed up police reports.

PHOTO'S SHOW BRUISING ON NECK AND FACE WOUNDS
Bottom photos show the motel room Valdosta police say that he killed himself in. Insider interviewed Lemme's brother and he doesn't believe Ray killed himself. He stated that Ray would never sell out his principles or his country. The portrait we have after interviewing his co-workers is that Ray was at the height of his career, enjoyed his work and would never disgrace his family or the high standards he set for himself.
The office receptionist who worked with Ray Lemme was shocked to learn from us that police and his boss Robert Clift say he committed suicide! Clift is adamant that Lemme committed suicide and suffered from deep depression, although a list of the medicines placed neatly out on the bathroom vanity does not include any depression medicine. Looking at the photos we believe it's all too neat and diabolical.

An extensive 3 year investigation has uncovered startling facts and documentation that suggest China and Saudi Arabia are the nations engineering the Al-Qaeda plot to overthrow the United States government.
Based upon credible intelligence and extensive secret documentation previously with-held by law enforcement agencies we have determined that the plot reaches the highest levels of the United States government and involves United States Congressman Tom Feeney, R. Florida and at least Florida Governor, Jeb Bush.
Secret documents show the espionage and treason acts perpetrated against the United States involved murder, programming vote switching software, manipulation and control of existing government computer databases maintained by the Federal Aviation Administration, Internal Revenue Service, Federal Bureau of Investigation, United States Customs, National Aeronautics and Space Administration, Department of Defense, Florida Department of Law Enforcement and the Florida Department of Transportation are just a few of the many government agencies that have been infiltrated by Chinese and Saudi spies.
The high level IT attacks have resulted in a War Of Terror against citizens worldwide and are outlined in a book published in China in February 1999 which proposes tactics for developing countries, in particular China, to compensate for their military inferiority vis-ŕ-vis the United States during a high-tech war.
The book was written by two PLA senior colonels from the younger generation of Chinese military officers and was published by the PLA Literature and Arts Publishing House in Beijing, suggesting that its release was endorsed by at least some elements of the PLA leadership. This impression was reinforced by an interview with Qiao and laudatory review of the book carried by the party youth league's official daily Zhongguo Qingnian Bao.
Published prior to the bombing of China's embassy in Belgrade, the book has drawn the attention of both the Chinese and Western press for its advocacy of a multitude of means, both military and particularly non-military, to strike at the United States during times of conflict. Hacking into websites, targeting financial institutions, terrorism, using the media, and conducting urban warfare are among the methods proposed.
In the Zhongguo Qingnian Bao interview, Qiao was quoted as stating that "the first rule of unrestricted warfare is that there are no rules, with nothing forbidden." Elaborating on this idea, he asserted that strong countries would not use the same approach against weak countries because "strong countries make the rules while rising ones break them and exploit loopholes . . .The United States breaks [UN rules] and makes new ones when these rules don't suit [its purposes], but it has to observe its own rules or the whole world will not trust it." Click on the link below for a Chinese definition of unrestricted warfare http://insider-magazine.com/Chinaswarfare.html
Insider's confidential intelligence sources have confirmed the U.S. Intelligence community was operating in a defensive posture against the Chinese governments adoption of "unrestricted warfare" prior to the election of George Bush, Jr.
Bush who became President amid claims of software fraud and vote scamming in Florida has according to our sources, systematically dismantled historical national security safeguards for access to sensitive data. At the same time Bush and his brother's political allies have worked as lobbyists for the Chinese and the Saudis to secure government contracts enabling the on-going infiltration. Bush's other brother Neil is also on the board of director's of a Chinese semiconductor firm with ties to the Chinese Army.
Federal court documents and secret intelligence reports obtained by Insider-Magazine show illegal alien spies working for those firms with deep connections to AL-Qaeda have been allowed access to the NASA computer files for downloading and were involved in exporting high-tech weapons and satellite technology. Those firms have received government contracts allowing them to penetrate the highest levels of United States security and government agencies.
One such firm is Yang Enterprises, Inc. a 250 employee software firm from Oviedo, Florida. The company is represented by Jeb Bush's former running-mate, Republican Congressman Tom Feeney. Yang Enterprises is a firm with government contracts at NASA, the Florida Department of Transportation and the Department of Law Enforcement now headed by former Bay County Sheriff Guy Tunnell.

Tom Feeney shown here with the President is also the registered lobbyist for the Yang Corporation whose employee, an illegal alien, Henry Nee was indicted by a federal grand jury in 2004 for exporting microchips to Beijing University. Nee subsequently pled guilty to the charges.
Confidential Insider sources say that China dismantled microchips and reverse engineered the Sanders and Lockheed Martin chips possibly remanufacturing and reprogramming them for export back to the United States and integrating them into existing U.S. weapons systems rendering them inoperable and functionally unstable.
China is renowned worldwide for theft of technology and flooding markets with knock-offs, counterfeits and imitations of products made with prison labor. China is the largest owner of U.S. Treasury notes due to an imbalance of trade and as early as last week the head of the Fed Bank is New York warned in a Wall Street Journal article that the U.S. economy could collapse if the China dumped their U.S. Treasury certificates.











With the help of their "Lobbyist Congressman Feeney", and Governor Jeb Bush, Yang was recently awarded a place on the high priority list of vendors for all Florida state agencies, although an employee Henry Nee pled guilty to espionage in Orlando federal court in 2004, an activity that would preclude them from obtaining state and federal contracts.
The insider's documentation from law enforcement reports yet to be made public, show Florida Department of Transportation Inspector General employee, investigator Raymond Lemme at the time of his death was investigating allegations that Yang employed illegal aliens among other things including overpayments and money laundering activities. Lemme apparently stumbled across the on-going spy operation.











Authorities have officially reported that Lemme committed suicide in a Valdosta motel room on July 1, 2003, but the Insider's investigation has concluded that it was murder after obtaining hard evidence and conflicting reports stated not to exist in official police records.




Click on this link to follow the Valdosta police and their cover-up reports. http://insider-magazine.com/ValdostaPD.html


A major part of the Insider's investigation was carried out in Lowndes and Echols counties in and around Valdosta, Georgia and stemmed in part from an on-going illegal alien smuggling operation in Bay County, Florida. The Bay County operation was part of our story "License To Steal", in the Fall 2003 print edition of Emerald Coast Insider Magazine, in which we directly linked White House transition team member William Harrison, Jr. to Big Wheel Recycling and Aztec Environmental of Panama City, Florida.
Our story at the time centered upon apparent influence peddling by Harrison within the U.S. Marshall's Service in Washington and the dumping of toxic waste in Bay county, Florida. We were unaware that smuggling illegal aliens was involved until the FBI, EPA and Homeland Security raided Aztec and Big Wheel's offices in February 2004 at Panama City, Florida, after publication of our story.
In the above related investigations conducted by Insider we have obtained exclusive interviews with sources who have worked inside the smuggling operations and those stories will be follow-ups to this breaking story.
Ray Lemme's Yang investigation apparently ran parallel to his FDOT investigation of whistleblower Mavis Georgalis who was the IT manager trying to stop Yang from getting a $77 million contract with the state of Florida. Bay County businessman and prominent Republican Earl K. Durden is chairman of the Florida Transportation Commission.
Durden and Beach businessman Charles L. Hilton are both staunch supporters of the president and are founding members of the "Club for Growth" in Washington. D.C. a key group behind the dismantling of the national Social Security Benefit System, whose members have been reported to work illegal aliens and make use of leased employees.
http://www.clubforgrowth.org/staff.php
Investigative records show that Whistleblower supervisor Mavis Georgalis was targeted for prosecution after exposing Yang to her superiors at the FDOT, records and interviews with FDOT staff conducted by the Insider show that Georgails allegations and those of programmer Clint Curtis were not investigated even tough the Inspector General is due to release an official report on the matter.



In an effort to silence Georgalis, she
was arrested twice and forced to resign and she has been reinstated to her job
at FDOT by the courts. Since her return to work, Cecil Bragg the Inspector
General of FDOT, Ray Lemme's former top boss is still trying to bring up new
charges against her with the Florida Ethics Commission.





During our investigation and interviews with employees of FDOT, Lemme's supervisor Robert Clift told us that he was the person responsible for launching the investigation of Whistleblowers Georgalis and Clint Curtis.
Based upon substantial evidence obtained by the Insider, it was either Jeb Bush or Tom Feeney who ordered the Whistleblowers prosecuted, we don't buy the story from Lemme's supervisor Bob Clift who is on record apparently filing a false affidavit with the Leon County Sheriff's department in connection to the Lemme death case. Clift and Lemme's widow who works with the law firm of Holland and Knight are both on the same page with the cover-up by the Valdosta Police.
In December 2004, Investigative reporter Wayne Madsen brought the Lemme murder story to light in Online Journal.
Click on this link to follow other murders and cover-ups in the Inslaw software case cover-up reports. http://insider-magazine.com/software_to_die_for.html
The case of Yang Enterprises bears remarkable similarity to that of Saudi software firm “Ptech” in many ways.
STAY WITH INSIDER ON THIS BREAKING STORY ..TO BE CONTINUED IN PART II
Unsolved contract hits and a history Written in Blood...

RESHUFFLING THE FEDERAL BENCH ... AUGUST 1989 MAIL BOMB BOMB LETTERS
Mailed to media in target cities from various U.S. locations same day...work of a lone nut?
